跳到主要內容區
您的瀏覽器不支援JavaScript功能,若網頁功能無法正常使用時,請開啟瀏覽器JavaScript狀態
Hsinchu County Chung Cheng Elementary School
漢堡鈕選單
回首頁
會計月報
課程計畫
網站管理
公開授課
首頁
榮譽榜
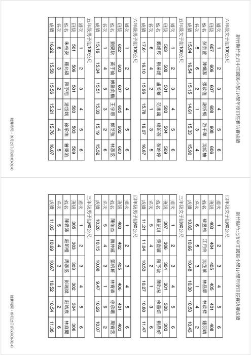
[校內體育]公告114學年度校慶田徑賽成績。
旨揭賽事短跑部分於09月25日(四)完賽,恭喜獲獎同學。
[校內體育]公告114學年度校慶田徑賽成績。
[校內體育]公告114學年度校慶田徑賽成績。
瀏覽數:
分享
登入成功
Close (Esc)
Share
Toggle fullscreen
Zoom in/out
Previous (arrow left)
Next (arrow right)